رنگدانه زرد 97
Pigment Yellow 97 is a bright, durable yellow pigment commonly used in coatings, inks, plastics, and paints. Known for its excellent lightfastness, weather resistance, and non-toxic properties, it offers vibrant color with high opacity. This pigment provides superior color strength and is often chosen for applications requiring consistent, high-quality yellow hues. It’s widely used in industrial sectors such as automotive, textiles, and packaging, offering a reliable and long-lasting color solution. Pigment Yellow 97 is valued for its versatility, environmental safety, and ability to maintain color integrity even under harsh conditions.
| مترادف ها | CIPigment زرد 97; CIPY97; PY97; PY97 |
| شماره CI | 11767 |
| شماره CAS | 12225-18-2 |
| شماره اتحادیه اروپا | 235-427-3 |
| فرمول مولکولی | C26H27CINN4O8S |
| خانواده شیمیایی | مونو آزو |
| رنگ | ![]() |
| توزیع رنگ |
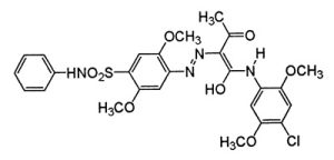
ساختار مولکولی:

رنگدانه زرد 97 خواص فیزیکی، شیمیایی و پایداری
| وزن مولکولی | 591.08 |
| مقدار PH | 7.5 |
| چگالی، تراکم | 1.5 |
| جذب روغن (میلی لیتر / 100 گرم)٪ | 45 |
| سرعت نور | 7 |
| مقاومت در برابر حرارت | 200 (درجه سانتیگراد) |
| مقاومت آب | 5 |
| مقاومت در برابر روغن | 4 |
| مقاومت در برابر اسید | 5 |
| مقاومت قلیایی | 5 |
کاربرد
پیگمنت زرد 97 به دلیل رنگ زرد پر جنب و جوش در صنایع مختلف کاربرد پیدا می کند. برخی از برنامه های کاربردی رایج عبارتند از:
رنگ ها و پوشش ها: پیگمنت زرد 97 در فرمولاسیون رنگ ها و پوشش ها برای مصارف تزئینی و حفاظتی استفاده می شود. می توان آن را در رنگ های مبتنی بر آب یا بر پایه حلال گنجاند تا رنگ زرد ایجاد کند.
جوهرهای چاپ: این رنگدانه در تولید جوهرهای چاپ زرد برای کاربردهایی مانند بسته بندی، نشریات و سایر مواد چاپی استفاده می شود.
پلاستیک: رنگدانه زرد 97 اغلب در رنگ آمیزی پلاستیک ها از جمله PVC (پلی وینیل کلراید)، پلی اولفین ها و سایر مواد پلیمری استفاده می شود. رنگ زرد بادوام و پایداری را به محصولات پلاستیکی می بخشد.
منسوجات: در صنعت نساجی، این رنگدانه ممکن است برای رنگرزی پارچه ها استفاده شود و رنگ زردی به منسوجات و پوشاک بدهد.
جوهرهای جوهرافشان: پیگمنت زرد 97 را می توان در فرمولاسیون جوهرهای جوهرافشان برای چاپ تصاویر و متن روی بسترهای مختلف استفاده کرد.
Artist Colors: هنرمندان و تولیدکنندگان لوازم هنری می توانند از رنگدانه زرد 97 در تولید رنگ روغن، اکریلیک، آبرنگ و سایر رسانه های هنری استفاده کنند.
کاربردهای دیگر: رنگدانه ممکن است در کاربردهای مختلف دیگری که رنگ زرد پایدار و پر جنب و جوش مورد نظر است، مانند رنگآمیزی لوازم آرایشی، محصولات لاستیکی، و پوششهای ویژه مورد استفاده قرار گیرد.
اطلاعات مربوطه
Pigment Yellow 97 is a hydroxyl-containing polycarboxylic acid that is used in the production of paints and plastics. It has an oxidation potential of +0.6 volts, which indicates that it is reactive. Pigment Yellow 97 has an absorption maximum at 526 nm and a molecular weight of 317.09 g/mol. The chemical structure of Pigment Yellow 97 consists of a molecule with a reactive carboxyl group and a reactive hydroxyl group, as well as an intramolecular hydrogen bond between the two groups. This pigment also forms coordination complexes with metals such as iron oxides to form particle pigments or mixtures with glycol esters to form solid particles or dispersions, respectively.
نام ها و شناسه ها
نام IUPAC: N-(4-chloro-2،5-dimethoxyphenyl)-2-[[2،5-dimethoxy-4-(phenylsulfamoyl)phenyl]diazenyl]-3-oxobutanamide
InChI=1S/C26H27ClN4O8S/c1-15(32)25(26(33)28-18-12-20(36-2)17(27)11-21(18)37-3)30-29-19- 13-23(39-5)24(14-22(19)38-4)40(34,35)31-16-9-7-6-8-10-16/h6-14,25,31H, 1-5H3,(H,28,33)
InChIKey: WNWZKKBGFYKSGA-UHFFFAOYSA-N
لبخند متعارف: CC(=O)C(C(=O)NC1=CC(=C(C=C1OC)Cl)OC)N=NC2=CC(=C(C=C2OC)S(=O)(= O)NC3=CC=CC=C3)OC
ویژگی های محاسبه شده
| نام ملک | ارزش ملک |
| وزن مولکولی | 591.0 g/mol |
| XLogP3-AA | 4.6 |
| تعداد اهداکنندگان پیوند هیدروژنی | 2 |
| تعداد گیرنده پیوند هیدروژنی | 11 |
| تعداد اوراق قابل چرخش | 12 |
| جرم دقیق | 590.1238127 Da |
| جرم تک ایزوتوپی | 590.1238127 Da |
| مساحت سطح قطبی توپولوژیکی | 162 Ų |
| شمارش اتم سنگین | 40 |
| اتهام رسمی | 0 |
| پیچیدگی | 974 |
| شمارش اتم ایزوتوپ | 0 |
| تعداد استریوسنتز اتمی تعریف شده | 0 |
| تعداد استریوسنتز اتمی تعریف نشده | 1 |
| تعداد استریوسنتز باند تعریف شده | 0 |
| تعداد استریوسنتز باند تعریف نشده | 0 |
| تعداد واحدهای پیوند کووالانسی | 1 |
| ترکیب متعارف شده است | آره |











